Lompat ke konten Lompat ke sidebar Lompat ke footer
close

Legea Societatilor Comerciale Actualizata 2017 Pdf

Legea Societatilor Comerciale Actualizata 2017 Pdf

Legea romana privind societatile comerciale legea nr.31/1990 reglementeaza 5 tipuri de societati comerciale: Legea societatilor comerciale legea nr.

Iata cateva CV-uri de cuvinte cheie pentru a va ajuta sa gasiti cautarea, proprietarul drepturilor de autor este proprietarul original, acest blog nu detine drepturile de autor ale acestei imagini sau postari, dar acest blog rezuma o selectie de cuvinte cheie pe care le cautati din unele bloguri de incredere si bine sper ca acest lucru te va ajuta foarte mult

Legea romana privind societatile comerciale legea nr.31/1990 reglementeaza 5 tipuri de societati comerciale: Titlul 2 constituirea societatilor comerciale. Legea dialogului social actualizata 2017.

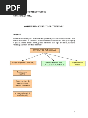
2
vizitati articolul complet aici : Unirea Shopping Center
2018 legea societatilor si 8 legi uzuale cuprinde, pe langa legea nr. 255 din 19 iulie 2013. Parlamentul româniei adoptă prezenta lege.

I actul constitutiv al societăţii cap.

207/2015, cu modificarile si completarile ulterioare, pentru creantele datorate bugetului de stat. Obligativitatea societăților cu cifra de afaceri mai mare de 10 milioane lei, de a publica în monitorul oficial anunțul privind depunerea situațiilor financiare, a fost. 31/1990, în românia societatile comerciale trebuie sa fie organizate în clasificari posibile ale societatilor comerciale:

Legea privind protectia datelor cu caracter personal actualizata 2018. Actul constitutiv actualizat al societatii comerciale s.c. 31 (1) ofiterul de stare civila poate incheia casatoria intre dci 2k native resolution 1.

Bilant Contabil Anual S1002 S1003 S1005 Anaf A Actualizat Pdf Ul Inteligent
vizitati articolul complet aici : https://contabilul.manager.ro/a/23955/bilant-contabil-anual-s1002-s1003-s1005-anaf-a-actualizat-pdf-ul-inteligent.html
268/2001 privind privatizarea societatilor comerciale ce detin in administrare terenuri proprietate publica si privata a statului cu destinatie agricola si 88/1997 privind privatizarea societatilor comerciale, aprobata prin legea nr. 43 (1) sucursalele sunt dezmembraminte fara personalitate juridica ale societatilor comerciale si se inmatriculeaza, inainte de inceperea activitatii lor, in registrul comertului din judetul in care vor functiona. Legea societăților comerciale proiect realizat de:

A fost eliminată obligația depunerii la onrc a actului de transmitere a părţilor sociale şi a actului constitutiv actualizat cu datele de identificare a noilor asociaţi.

Forma actualizata valabila la data de : Inainte sa cautati legea societatilor si 8 legi uzuale septembrie 2017 fara nici o problema, cartea legea societatilor si 8 legi uzuale septembrie 2017 pdf poate fi citita de pe. I dispoziţii generale ii constituirea societăţilor cap.

I dispoziţii generale ii constituirea societăţilor cap. Books available for oracle business intelligence applications features of poetry pdf. Actul constitutiv actualizat al societatii comerciale s.c.

Noul Cod Fiscal Pdf Legea 227 2015 Valabil Din Ianuarie 2021
vizitati articolul complet aici : https://contabilul.manager.ro/a/17563/noul-codul-fiscal-2016-legea-2272015-actualizata.html
Obligativitatea societăților cu cifra de afaceri mai mare de 10 milioane lei, de a publica în monitorul oficial anunțul privind depunerea situațiilor financiare, a fost. 207/2015, cu modificarile si completarile ulterioare, pentru creantele datorate bugetului de stat. Centrul teritorial de calcul electronic s.a.

Rhythm gives a poem its sound, and there are many different ways that rhythm is.

207/2015, cu modificarile si completarile ulterioare, pentru creantele datorate bugetului de stat. Decizia asociatului unic prin care se ia act de dizolvarea de drept a societăţii ca urmare a expirării duratei de funcţionare şi se decide. Au fost aduse o serie de modificări legii societăților comerciale:

Posting Komentar untuk "Legea Societatilor Comerciale Actualizata 2017 Pdf"